Discuss about Gaussian High Pass and Gaussian Low Pass Filter.
4 years ago
Digital Image Processing
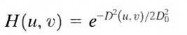
Gaussian Lowpass Filters:
The form of these filters in two dimensions is given by
![]()
where, D(u, v) is the distance from the origin of the Fourier transform.

Fig.6.1 (a) Perspective plot of a GLPF transfer function, (b) Filter displayed as an image,
(c) Filter radial cross sections for various values of Do.
σ is a measure of the spread of the Gaussian curve. By letting σ = Du, we can express the filter in a more familiar form in terms of the notation:

where Do is the cutoff frequency. When D (u, v) = Do, the filter is down to 0.607 of its maximum value.
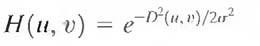
Gaussian Highpass Filters:
The transfer function of the Gaussian highpass filter (GHPF) with cutoff frequency locus at a distance Do from the origin is given by
![]()
The figure 6.2 shows a perspective plot, image, and cross section of the GHPF function.

Fig.6.2. Perspective plot, image representation, and cross section of a typical Gaussian high pass filter
Even the filtering of the smaller objects and thin bars is cleaner with the Gaussian filler.
Raju Singhaniya
Oct 15, 2021